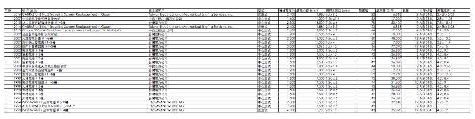
設備實績 迴轉式攔污柵
| 年份 | 使 用 場 地 | 業主或客戶 | 型式 | 機械寬度(mm) | 鏈輪心距 (mm) | 網徑&開口 (mm) | 篩網數 | 處理量(CMH) | 數量 | 主要材質 | 渠寬及深(m) |
|---|---|---|---|---|---|---|---|---|---|---|---|
| 2016 | CABRAS Unit No.2 Traveling Screen Replacement in Guam | Taiwan Electrical and Mechanical Eng’g Services, Inc. | 直流式 | 2400 | 4880 | 2d x 9.5 | 22 | 6813 | 2 | AISI 316L | 2.438 x 5.03 |
| 2007 | 中油北部液化天然氣接收站 | 中鼎工程/中國石油公司 | 中心流式 | 1600 | 11000 | 1.2d x7.4 | 52 | 17000 | 2 | AISI 316L | 2.8 x 11.08 |
| 2015 | 林口電廠更新擴建計畫 #1~3機 | 台灣電力公司 | 中心流式 | 2500 | 13500 | 1.2d x 6 | 70 | 50400 | 9 | AISI 316L | 7.5 x 15.45 |
| 2014 | CABRAS Unit No.1 Traveling Screen Replacement in Guam | Taiwan Electrical and Mechanical Eng’g Services, Inc. | 直流式 | 2400 | 4880 | 2d x 9.5 | 22 | 6813 | 2 | AISI 316L | 2.438 x 5.03 |
| 2013 | Kimanis 300MW Conbined cycle power plant project in Malaysia | 中鼎工程(股)公司 | 中心流式 | 1600 | 9000 | 1.2d x 7 | 44 | 17100 | 4 | AISI 316L | 2.9 x 9.8 |
| 2009 | 台肥台中廠冷卻水取水站 | 台灣肥料公司 | 中心流式 | 1200 | 10500 | 1d x 4 | 50 | 10000 | 2 | AISI 316L | 2.8 x 11.5 |
| 2007 | 大潭發電計畫 #1~6機 | 台灣電力公司 | 中心流式 | 2500 | 12000 | 1.2d x 6 | 60 | 48000 | 12 | AISI 316L | 5.3 x 13.3 |
| 2007 | 馬祖珠山發電廠#1~2機 | 台灣電力公司 | 中心流式 | 1200 | 11000 | 1d x 4 | 52 | 7200 | 2 | AISI 316L | 2.8 x 11.9 |
| 2005 | 龍門計畫核四廠 #1~2機 | 台灣電力公司 | 中心流式 | 3000 | 12365 | 2d x 10 | 66 | 77240 | 12 | AISI 316L | 7.4 x 15 |
| 2002 | 興達電廠 # 1機 | 台灣電力公司 | 中心流式 | 1600 | 8000 | 1.2d x 6 | 44 | 26820 | 3 | AISI 316L | 4.2 x 9.1 |
| 2002 | 協和電廠 # 3機 | 台灣電力公司 | 中心流式 | 1600 | 7500 | 2d x 10 | 42 | 26820 | 3 | AISI 316L | 4.2 x 8.4 |
| 2001 | 興達電廠 # 2機 | 台灣電力公司 | 中心流式 | 1600 | 8000 | 1.2d x 6 | 44 | 26820 | 3 | AISI 316L | 4.2 x 9.1 |
| 2001 | 協和電廠 # 2機 | 台灣電力公司 | 中心流式 | 1600 | 7500 | 2d x 10 | 42 | 26820 | 3 | AISI 316L | 4.2 x 8.4 |
| 2000 | 中油永安液化天然氣三期接收站 | 中國石油公司 | 中心流式 | 1600 | 8000 | 1d x7. 4 | 44 | 20000 | 2 | AISI 316L | 4.0 x 9.65 |
| 2000 | 金門水頭塔山發電廠#1~4機 | 台灣電力公司 | 中心流式 | 1200 | 11000 | 1d x 4 | 52 | 7200 | 2 | AISI 316L | 2.8 x 11.9 |
| 1999 | 澎湖尖山發電廠#1~4機 | 台灣電力公司 | 中心流式 | 1600 | 11000 | 1d x 4 | 52 | 12960 | 2 | AISI 316L | 2.8 x 12.08 |
| 1999 | 大林電廠 # 1機 | 台灣電力公司 | 中心流式 | 1600 | 7500 | 1.2d x 6 | 42 | 28000 | 2 | AISI 316L | 4.2 x 8.4 |
| 1998 | 興達電廠複循環 # 1~5機 | 台灣電力公司 | 中心流式 | 1600 | 7500 | 1.2d x 6 | 44 | 21600 | 10 | AISI 316L | 5.2 x 9 |
| 1998 | 大林電廠 # 3機 | 台灣電力公司 | 中心流式 | 1600 | 7500 | 1.2d x 6 | 42 | 26820 | 3 | AISI 316L | 4.2 x 8.4 |
| 1998 | 大林電廠 # 4機 | 台灣電力公司 | 中心流式 | 1600 | 7500 | 1.2d x 6 | 42 | 26820 | 3 | AISI 316L | 4.2 x 8.4 |
| 1998 | 大林電廠 # 2機 | 台灣電力公司 | 中心流式 | 1600 | 7500 | 1.2d x 6 | 42 | 28000 | 2 | AISI 316L | 4.2 x 8.4 |
| 1997 | 大林電廠 # 5機 | 台灣電力公司 | 中心流式 | 1600 | 7500 | 1.2d x 6 | 42 | 26820 | 3 | AISI 316L | 4.2 x 8.4 |
| 1994 | PASSAVANT / 台中電廠 # 5~8機 | PASSAVANT WERKE AG | 中心流式 | 2000 | 11500 | 1.2d x 6 | 58 | 39610 | 12 | AISI 316L | 5.2 x 12 |
| 1993 | ALTI FORNI SERVOLA TRIESTE/ITALY | PASSAVANT WERKE AG | 中心流式 | 1200 | 7500 | 1.2d x 6 | 42 | – | 2 | AISI 316L | – |
| 1990 | PASSAVANT / 台中電廠 # 1~4機 | PASSAVANT WERKE AG | 直流式 | 4300 | 11285 | 2d x 10 | 43 | 35820 | 12 | AISI 304 | 4.3 x 12 |


